hirax.net::Keywords::「窒素」のブログ



1999-12-19[n年前へ]

母に捧げるバラード 

宿題は自分でやってくれぇ

 今回の話は、とあるメーリングリストから始まる。仮にそのメーリングリストを"family-ml"と名付けておく。そのfamily-mlで論争が起きたのである。
 メーリングリストで論争が起きることはよくある。しかし、このfamily-mlは通常のメーリングリストではなかった。実は、とある家族を構成員とするものであった。そう、この家族は専用のメーリングリストを持っているのである。そこで、この論争は起きた。

 各登場人物の紹介は随時していこうと思う。

Tue, 14 Dec 1999 21:54:26 +0900 (JST)
To family-**@hirax.net From 母
Subject: レポート課題がわからない

みなさんお元気ですね。
   <中略>
ところで久しぶりに学校に行ったら、レポートの課題が出てました。そのうえ授業が進んでました。外国語聞いているみたいです。レポート課題 SOSです。だれか教えて下さい。

 大気の持つ質量あたりのエネルギーを、次の二つの例について求めなさい。

 「下」 赤道付近の地表面付近の大気
    高さ 0m
気温 300K
比湿 0.02(=20g/Kg)
風速(絶対値) 5m/s

「上」 赤道付近り対流圏界面付近の大気
    高さ 1500m(=15Km)
気温(300-6×15)K{気温減率6K/Kmと仮定}
比湿 0
風速(絶対値)20m/s

結果を次のような表にまとめなさい。
                       下 上
  A  内部エネルギーの温度に比例する部分
  B  内部エネルギーの水蒸気に比例する部分
  C  位置エネルギー
  D  運動エネルギー

さて、インドの話はいらしたときにします。大変な国ですが、行って良かったです。

 この「母」はいまはやりのヤンママではない。戦中に生まれたお年の方である。去年辺りから仕事のない日に大学へ社会人学生として通うようになったのである。

Date: Thu, 16 Dec 1999 05:43:06 +0900
To family-**@hirax.net From 兄
Subject:Re: レポート課題がわからない

> レポート課題 SOSです。だれか教えて下さい。

 この「母」のレポートって「弟」の得意な専門の問題じゃないの?

>    高さ 1500m(=15Km)

 あと、15000mの間違い?

 「兄」はとあるWEBのwebmasterである。「母」の年からすれば、そうそう若くもないことがわかる。

Date: Thu, 16 Dec 1999 09:12:06 +0900
To family-**@hirax.net From 父
Subject:Re: レポート課題がわからない

>結果を次のような表にまとめなさい。
 
 「お母さん」には無理だ。

 「父」はhiraxという名前を数十年名乗ってきた、元祖hiraxである。

Date: Thu, 16 Dec 1999 20:21:11 +0900
To family-**@hirax.net From 母
Subject:Re: レポート課題がわからない

 今年は地球科学概論をとった。確か昨年「兄」が次は地球科学がいいと、
いったはず、責任があるはずです。自分の責任のあることを「弟」に振ろうとしていませんか。だれでもいいです。「弟」、助けてくれますか?

 確か、この「母」は去年は「応用化学」をとっていた。なぜ、そういう無理なことをしたがるのだ。
気持ちはわからないでもないが、もう少し考えて欲しいものである。

Date: Thu, 17 Dec 1999 04:12:34 +0900
To family-**@hirax.net From 兄
Subject:Re: レポート課題がわからない

> 今年は地球科学概論をとった。確か昨年「兄」が次は地球科学がいいと、
>いったはず、責任があるはずです。

 いや、私が言ったのは「どうせ習うなら自然科学史みたいなのの方がいいよ。」です。「地球科学概論」だなんて言っておりません。
 それに、去年取った「応用化学」に較べれば楽なものじゃないですか。「応用化学をやったならこんなの簡単なんじゃないの?」

>自分の責任のあることを「弟」に振ろうとしていませんか。

 いや、私に責任はないと思うのですが...

>だれでもいいです。「弟」、助けてくれますか?

 そうそう > 「弟」


Date: Thu, 17 Dec 1999 13:21:00 +0900
To family-**@hirax.net From 弟
Subject:Re: レポート課題がわからない

>そうそう > 「弟」

 地球科学概論なんだから、宇宙・地球物理専攻の人がやるべき
なのでは > 「父」 & 「兄」

 最近、修論のまとめで忙しいです。


Date: Thu, 17 Dec 1999 23:49:03 +0900
To family-**@hirax.net From 兄
Subject:Re: レポート課題がわからない

> 地球科学概論なんだから、宇宙・地球物理専攻の人がやるべき
> なのでは > 「父」 & 「兄」

 しかし、これってほとんど化学工学ではないでしょうか。だから、
化学専攻の人の方が良いのではないでしょうか? > 「母」 & 「弟」


Date: Thu, 18 Dec 1999 07:33:06 +0900
To family-**@hirax.net From 母
Subject:Re: レポート課題がわからない

>>> そうそう助けてやれよ > 「弟」
>> 地球科学概論なんだから、宇宙・地球物理専攻の人がやるべき
>> なのでは > 「父」 & 「兄」
> 化学専攻の人の方が良いのではないでしょうか? >  「母」 & 「弟」

 そろいもそろって、冷たい兄弟ですね。

 うちの「母」はこうなると怖い。

Date: Thu, 18 Dec 1999 09:23:06 +0900
To family-**@hirax.net From 「妹姉」
Subject:Re: レポート課題がわからない

>>>> そうそう助けてやれよ > 「弟」
>>> 地球科学概論なんだから、宇宙・地球物理専攻の人がやるべき
>>> なのでは > 「父」 & 「兄」
>> 化学専攻の人の方が良いのではないでしょうか? >  「母」 & 「弟」

>そろいもそろって、冷たい兄弟ですね。

 そういうと、私まで一緒みたいに聞こえます。やめて下さい。兄妹とか姉弟
とか書かれるよりはいいですけど。それに、「父」は?

「妹姉」


Date: Thu, 18 Dec 1999 10:43:06 +0900
To family-**@hirax.net From 父
Subject:Re: レポート課題がわからない

 「母」がせっかく苦労してレポートをと考えているので、hiraxファミリーの
英知を結集して」、コメントしてやってください。
 今朝、「父」は物理的な意味だけは、10分間講義してあげました。

 多分、「兄」や「弟」だったら、チョチョイだから。

> どうせ習うなら自然科学史みたいなものの方がいいよ。
に賛成。地球科学には物理の素養が必要なので、一挙に地球科学に
行くより、物理か、自然科学史がいい。どっちかといったら、自然科学史が無難。


Date: Thu, 18 Dec 1999 07:43:06 +0900
To family-**@hirax.net From 兄
Subject:Re: レポート課題がわからない

>多分、「兄」や「弟」だったら、チョチョイだから。
 「弟」ならともかく、私にはチョチョイではありません。

>今朝、「父」は物理的な意味だけは、10分間講義してあげました。
 そのとき答えも講義してくれたら...

 そんなに若くはない年で働きながらも、大学へ行こうとする「母」の
エネルギーには頭が下がる思いです。しかし、科目の選択はじっくり
考えて欲しいです。

 さて、配達された最後の手紙が以下である。

Date: Thu, 18 Dec 1999 08:43:06 +0900
To family-**@hirax.net From 兄
Subject:Re: レポート課題がわからない

 昨日の電話など、何やらプレッシャーが感じられてきたので、適当に問題にとりかかって
みました。答えが合っているどうかはわかりません。また、手元に資料が
あまりないので、とんでもない間違いをしている可能性もあります。

 まずは、簡単そうな位置エネルギーと運動エネルギーから。「地球科学概論」
ということなので、式の導出までを求められてはいないと思います。そこで、
公式を使って解くことにします。

「問題」
 大気の持つ質量あたりのエネルギーを、次の二つの例について求めなさい。
 「下」 赤道付近の地表面付近の大気
高さ 0m、気温 300K、比湿 0.02(=20g/Kg)、風速(絶対値) 5m/s

「上」 赤道付近り対流圏界面付近の大気
高さ 15000m(=15Km)、気温(300-6×15)K、比湿 0、風速(絶対値)20m/s

「上」「下」それぞれについて
  A  内部エネルギーの温度に比例する部分
  B  内部エネルギーの水蒸気に比例する部分
  C  位置エネルギー
  D  運動エネルギー
を求めよ。

「回答」
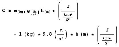
 高さ=h、質量=m、重力加速度=gとし、今回の問題で質量=m=1kgであることを考えて、位置エネルギーCは

と書ける。これに
「上」 赤道付近り対流圏界面付近の大気 h=15000(m)
「下」 赤道付近の地表面付近の大気 h=0(m)
を代入し、
「上」 1.47*10^(5) J
「下」 0 J
を得る。

 運動エネルギーDは速度v(m/s)に対して、

となるから、
「上」 赤道付近り対流圏界面付近の大気 v=20(m/s)
「下」 赤道付近の地表面付近の大気 v=5(m/s)
を代入し、
「上」 200 J
「下」 12.5 J
を得る。

 さて、次に「A.内部エネルギーの温度に比例する部分、B.内部エネルギーの水蒸気に比例する部分」
です。空気は主として窒素N2と酸素)O2からなり、いずれも2原子分子である。また水分子H2Oは3原子分子であるが、酸素原子Oを中心とした結合角度の振動などが小さく、無視できるとして、2原子分子と同等の自由度であるものと近似する。また、
比湿 0.02(=20g/Kg)ということから、水分子の数は窒素、酸素に対して無視できる程少ないため、無視して良い。
 すると、1mol辺り気体のエネルギーを1(kg)辺りに直すために、上式に1000/28.94(g/mol)をかけた

が求める答えである。

「上」 赤道付近り対流圏界面付近の大気 (300-6×15)K
「下」 赤道付近の地表面付近の大気 (300)K
を代入し、
「上」 150752. J
「下」 215359. J
を得る。

 最後に「B.内部エネルギーの水蒸気に比例する部分」であるが、水が液体から気体に変化するときのエネルギー収支を考る。蒸発熱が2498J/gであることを考え、計算を行う。

「上」 赤道付近り対流圏界面付近の大気 水蒸気0g
「下」 赤道付近の地表面付近の大気 水蒸気20g
を代入し、
「上」 0 J
「下」 2498 * 20 = 49960. J
を得る。当然のことですが、この水蒸気のエネルギーは
太陽のエネルギーが形を変えたものです。

 なお、検算も読み直しもしておりません。

 ごくまれにではあるが、「課題を解いてください」という大学生からのメールが届くことがある。そういうメールを見るたびに「うーむ...」という気分になっていたのである。しかし、まさか自分の親の宿題をやるはめになるとは。しかもこの年になって...

2004-11-07[n年前へ]

「コーラの科学」と「ナニワのオカン」 

「沈むコーラ」と「浮かぶコーラ」

「水槽に沈むコーラ」と「水に浮かぶダイエット・コーラ」

 今年の夏はずいぶんと暑く、真夏日が一月以上続いた。そのため、ソフト・ドリンク類の売り上げが昨年の二倍近く売れたコンビニなども多かったようだ。家の近くのコンビニで、汗をかいた後に、スポーツ飲料や冷たいビールを買って、そしてゴクゴクと飲み干していた人たちも多かったかもしれない。あるいは、夏のキャンプ先で、川の畔の水中にドリンクの缶を沈め、いつの間にかキリリと冷えたビールやジュースを味い楽しんだ人たちもいることだろう。それとも、夏祭りの夜店の水槽の中に沈んでいるジュースを買ってもらって飲んだ子供たちも多いだろうか。

 ところで、「川の水や夜店の水槽の中にドリンクの缶を沈めて、ドリンク缶を冷やした」と何気なしに書いた。しか、し「水槽の中にドリンクの缶を沈めて」というからには、当然ドリンク缶は水よりも重いということになる。ドリンクの缶が水の中でブクブクと沈んでいるからには、それらの缶というものは水に浮かぶことができない「カナヅチ」でなければならないはずである。とはいえ、「カナヅチ」でなければならないはずとは思うのだが、それを確認したことはない。そこで、試しにダイエーで買ったダイエー・コーラの350ml缶(写真中の赤い缶)を洗面台で水中に入れてみると、ブクブクと確かに水底に沈んでいる。…なるほど、コーラ缶はどうやら水より重い「カナヅチ」のようだ。水に浮かぶコーラと沈むダイエットコーラ

 ところが、よくよくこの写真を眺めてみると、その横でプカプカと水面に顔を出して浮かんでいる別のコーラ缶がいることがわかるハズだ。そう、コーラ缶は水の中に沈んでいるのに、なぜかダイエット・コーラの缶(手前の白い缶)は水に浮かんでいるのである。つまり、ダイエット・コーラの350ml缶はナント水よりも軽いようだ…?実験に使った缶は(私がビンボーなので…)ダイエー・ブランドの一本40円ナリのコーラだったが、由緒正しい米国コカ・コーラで実験したようすや、その解説などもあって、やはり一般的にコーラ350ml缶は水に沈むのに対して、ダイエット・コーラ缶350mlは水に浮くようである。何故に普通のコーラ缶は沈み、ダイエット・コーラ缶はプカプカと浮くのだろうか?

350mlコーラ缶の「浮き沈み」を計算してみよう!

 その謎を探るため、とりあえず「コーラ缶350mlの水中における重さ」を計算してみることにしよう。そこで、まずはコーラの350ml缶を定規で測ってみると、ドリンクが入っている部分の高さは大雑把に114mmだった。そして、直径は大体64mmである。ということは、350mlコーラ缶の体積は

π×半径 (65mm / 2) ×半径 (65mm / 2)× 高さ (115mm) ≒ 375 cm3
となり、およそ 375 cm3 程度であることがわかる。350ml缶というくらいだから、おそらく缶の中に入っているコーラは350~355ml(12 オンス)だろう(ちなみに、米国からの輸入品であるダイエーのコーラ缶には、内容量は355mlと書いてあった)。そして、缶の中の差し引き375- 350~355 ml ≒ 20~25mlの空間には炭酸ガスや窒素などが入っているのだろう。ということは、つまりコーラが入った350ml缶は全体として20~25gの浮力を受けることになる。

 また、アルミ缶自体の重さはおよそ16gほどだという。アルミの比重は2.7g/cmだから、体積は5.9cm3である。同体積の水の重さが5.9gだから、16gのアルミは当然5.9gの浮力を受ける。ということは、水中でのアルミ部分は差し引き、アルミの重さ(16g)? アルミの体積が受ける浮力(5.9g) = 10.1gほどの重さになっていることになる。つまり、アルミ缶は10gほどの「重し」を外殻としてまとっているわけである。

 さて、すると残りの肝心のコーラの液体自体の重さはどの程度になるのだろうか? それは簡単、なぜならコーラは結局のところ、「砂糖水」である*1。原材料の表示は「糖類(果糖ぶどう糖液糖、砂糖)、カラメル色素、酸味料、香料、カフェイン」となっているが、つまりはほとんどが糖類である。何しろ、350mlのコカ・コーラには35gもの量の糖分が溶け込んでいるのである(コカ・コーラのライバル「ペプシ・コーラ」の場合には、40gほどにもなる)。砂糖(糖分)が水に溶け込んでも水溶液の体積はほとんど変わらないから、実質この砂糖(糖分)の重さ35gだけ「350ml缶の中にあるコーラの液体自体の重さ」は水よりも重いことになる。

 つまり、コカ・コーラの350ml缶は、水と比べると

  • 缶の中の空き体積分の浮力:20~25g
  • アルミ部分:10g
  • コーラの液体(に溶け込んでいる糖分):35g
の35g + 10g - (20~25g) ≒ 25~20gだけ、同体積の水より重いことになる。なるほど、水の中にコーラの350ml缶を入れれば、これならば確かにブクブクと沈んでいくに違いない。「川の水や夜店の水槽の中にドリンクの缶を沈めて、ドリンク缶を冷やした」という真夏の経験は見事に科学によって裏付けられたわけである。つまり、コーラの甘さを作り出している糖分が「重し」となって、コーラの350ml缶は水に沈むのである。

*1
 余談になるが、かつて「砂糖水を売って一生を終える気か」という口説き文句により、ペプシ・コーラ社長だったジョン・スカリーがアップル・コンピュータの社長に引き抜かれたのは有名な話である。

ダイエット・コーラの秘密

 おやおや? それならば何故ダイエット・コーラがプカプカと水に浮いていたのだろうか?まさか、「ダイエット・コーラはダイエットしたコーラやろ?ダイエットしたんやったら、その分軽くなるやん?」なんて自分本位で超感覚的、つまりは「ナニワのおかん」的な意見を言う人はいないだろう。「何でコーラがダイエットすんねん!?」なんである。「何でコーラがダイエットしたら浮かなアカンねん!?」なのである。というわけで、ナニワのおかんはとりあえず無視して、私たちは科学的に考え・調べてみることにしよう。

 とりあえず、ダイエット・コーラの原材料を眺めてみる。すると、「カラメル色素、酸味料、甘味料(アスパルテーム・Lーフェニルアラニン化合物、アセスルファムK、スクラロース)、香料、保存料(安息香酸Na)、カフェイン」というように書いてあることがわかる。つまり、通常のコーラでは「糖類(果糖ぶどう糖液糖、砂糖)」であったものが、ダイエット・コーラの場合には人工甘味料の「アスパルテーム・Lーフェニルアラニン化合物、アセスルファムK、スクラロース」に変わっているわけだ。

人工甘味料の分子構造
アスパルテーム
アセスルファムK

 アスパルテームは1966年に甘味料として注目され始め、そして1982年に「味の素」が製造特許*2をとった人工甘味料である。アスパルテームは砂糖の150倍もの甘味を持っている。そして、アセスルファムKは1967年に生み出された人工甘味料で、なんと砂糖の200倍もの甘味度がある。甘味度というのは「砂糖と同じ甘さ」を感じさせるためには、水溶液中に「(砂糖と比べて)どの程度の重さ」の甘味料を溶かさなければならないか、ということを示している。だから、甘味度が150~200ということは、「同じ甘さを感じさせるためには、(砂糖に比べて)甘味料の重さが150~200分の1ですむ」というわけである。つまり、通常のコーラで必要だった35gの砂糖が、アスパルテームやアセスルファムKといった人工甘味料を使えば、

35g / 150~200 ≒ 0.18~0.23
というわけで、たったの0.18~0.23gですむのである。ということは、結局のところ通常のコーラに溶け込んでいる糖分の重さと、ダイエット・コーラに溶け込んでいる人工甘味料の重さはずいぶんと違うことがわかる。

*2
この特許は発明対価の22億円を巡って、「味の素」と元社員の間で係争中である。今年2月の東京地裁での判断は1億9千万円を元社員に支払うようにというものだったが、さらに控訴されているため、決着にはまだ時間がかかりそうだ。

実は正しかった「ナニワのおかん」 恐るべき野生の感覚!?

 ということは、ダイエット・コーラの350ml缶は、水と比べてみると

  • 缶の中の空き体積分の浮力:20~25g
  • アルミ部分:10g
  • ダイエット・コーラ(に溶け込んでいる糖分):0.2g
0.2 g + 10g - (20~25g) ≒ - 10~-15g
となる。つまり、なんと同体積の水より10~15gも軽いことになるのである。だから、ダイエット・コーラの350ml缶を水の中に入れると、当然のごとくプカプカと浮いてきてしまうわけである。一言で言えば、通常のコーラが「溶け込んでいる砂糖(糖分)」の重みでブクブク…と水の中に沈んでいってしまったのに対して、ダイエット・コーラの場合はダイエットのために砂糖をカットして人工甘味料を使ったため、砂糖(糖分)の重さ分軽くなって、プカプカと水に浮いたのである。

 …ん?砂糖を「ダイエットのため」にカットしたら、「その分軽くなって」浮いた…? そう、ナニワのおかんの「ダイエット・コーラはダイエットしたコーラやろ?ダイエットしたんやったら、その分軽くなるやん?」ニいう(一言で言えば)ワケのわからない超ヘリクツは実は見事なまでに正しかったのである。恐るべきは「ナニワのおかん」の野生の本能だ。私たちが、「コーラの糖分をアスパルテーム・Lーフェニルアラニン化合物、アセスルファムK、スクラロースに置き換えた分…」なんて長々しく考えて計算するところを、何にも考えずに知性でなく直感だけで「ダイエットしたから、そら軽くなるやろ」と言い放つのだから…。恐るべき、(年を召された)女性の本能だ…。 _|‾|○
 とはいえ、えてしてナニワのおかんは、ダイエット・コーラではなくて35gもの砂糖(糖分)が入っている通常のコーラをガブ飲みし、まるで「水にブクブクと沈むコーラ缶」のようにブクブクと肥えていたりする。「コーラよりアンタがダイエットせなあかんちゃうんか!」とも思ったりはするのだが…。

実は日本のコカ・コーラの350ml缶はプカプカ浮かぶ…!?

日本産のコーラはプカプカ浮かぶ

 ところで、経済事情(一言で言えば私がビンボーだから)により、今回はコカ・コーラでなく、ダイエーで売っていた一本40円の米国産コーラとダイエット・コーラを使って実験をしてみた。しかし、それだけではどうかと思ったので、(大枚払って)一本だけ日本コカ・コーラの350ml缶を買って洗面台で水中に沈めてみた。…いや、沈めてみようとしたのである。ところが、日本コカ・コーラの350ml缶(右手前の赤い缶)は全然沈まずにプカプカ浮かんでばかりなのだ(右の写真)。ダイエー・コーラ(奥の赤い缶)と日本コカ・コーラ(手前右)の違いと言えば、ダイエー・コーラが355mlの内容量で、(米国コカ・コーラと違って)日本コカ・コーラが350mlであるということ、つまり(容器の容量が同じであるとするならば)浮力が日本コカ・コーラの方が5g大きく浮きやすいということと、(表示カロリーから予想すると)ダイエー・コーラの方が3g程度砂糖(糖分)の使用量が多くその分沈みやすいということである。もちろん、少し容器の体積も違う。それらは微妙な違いに過ぎないが、その微妙な違いにより日本産コカ・コーラは米国産コーラと違って水に沈まずに浮かぶのかもしれない…。

 ところで、この「水に浮かぶダイエット・コーラと沈むコーラ」ではないが、コーラ一つとってみても色々な科学を知ることができる。キャンプ先の川辺や夜店の水槽の中に沈んでいるジュース缶の中には、「沈むコーラの350ml缶」から「人工甘味料の化学」や「浮力という物理」や「ナニワのおかんのスゴさ」が詰まっている。日常で目にする景色の中には、色んな科学の入り口が潜んでいる。街中には数限りない面白い謎が満ちあふれている。

2013-09-06[n年前へ]

「掌で触っても割れない(ヘリウム入りの)シャボン玉」 

 「掌で触っても割れないシャボン玉」があります。今で言うと100円ショップ、昔は駄菓子屋で売ってる「吹くとすぐ硬化してビニール状になる」シャボン玉です。

 そんな手で触れることができる割れないシャボン玉を、ヘリウムを吹いて作ってみました。すると、空気の主成分である窒素とヘリウムの非常の違いから生じる浮力で、ヘリウムで満ちた”割れない”シャボン玉が綺麗に空に浮かび上がっていきます。

 こんなものを何個も何個も、空へと飛ばしてみました。…直系5cmほどの割れずに空に浮かぶシャボン玉、一体どこまでたどり着いたのでしょうか。

「掌で触っても割れない(ヘリウム入りの)シャボン玉」






2015-02-07[n年前へ]

ギネスビールの泡特徴は、二酸化炭素でなく窒素封入だからこそ(あと粘度の高さ)という話 

 普通の高圧下でビールに二酸化炭素を溶け込ませるけれど、ギネスビールは窒素を封入する。で、二酸化炭素を溶はビールにたくさん溶け込むけれど、窒素はあんまり溶け込まない。

 その結果、二酸化炭素の泡が生まれる普通のビールでは、泡が上昇するに従いビール中に多量に含まれている二酸化炭素が(ビールから)泡中に溶け出して、泡粒径は大きく・泡上昇速度は速くなる。

 その一方、窒素が溶け込んだギネスビールでは、泡は上昇中にさほど大きくなることもなく、上昇速度もほぼ一定になる。ビール自体の粘度も高いため、この傾向はさらに顕著になる。

 そんなこんなのことを(ビール大好きな)知人がOpenFOAMで計算したシミュレーション結果が、下の動画です。左下が普通のドラフトビールで(違ったかも)、右下がギネスビール(泡がグラスの周辺部で下降するギネスカスケードが生じている)。

2016-06-12[n年前へ]

「ギネスカスケードの挙動を観測・計測してみよう!」のまとめ資料 

 第57回オープンCAE勉強会@関東(流体など)+門永様特別講演に参加してきました。特別講演の内容は、「ギネスビールの泡下降(ギネスカスケード)について、ピルスナービールとギネスビールにおける泡挙動を編微分ソルバであるOpenFOAMでシミュレーション計算して考察をしてみよう!」「さらに、美味しいビールの注ぎ方を考えてみよう!」というものでした。

 今回の勉強会では,門永様をお招きし,OpenFOAMを用いたビールの気泡シミュレーションについて講演を頂くことになりました.ビールの気泡シミュレーションの理論背景や計算結果について幅広く解説頂く予定です.気液混相解析に興味のある人,ビールの好きな人,奮ってのご参加お待ちしています!

 何度も一緒にビールを飲みながら、色々な経緯を経てバトンを渡した側として、やはりバックバンド的なサポートプレイヤーとしてサポートしたいよね!と思い、「ギネスカスケードの挙動を観測・計測してみよう!」のまとめ資料を作って、技術発表セッションをしてきました。…ギネスカスケード現象に対して、OpenFOAMを用いて行われた3次元流体・泡連成シミュレーション計算や*、3次元断面的な近赤外線撮影動画を用いたPIV(速度場解析)が行われた…ギネスカスケード現象に対する現象解析としては結構面白い技術報告の場だったのではないか…と勝手に思っていたりします。

近日公開されるはずの流体計算プレゼンテーション資料は、とても面白いと思います。(公開されました:続 「ギネスカスケードの挙動を観測・計測してみよう!」のまとめ資料)



■Powered by yagm.net